Función Afín a Trozos: Definición, Gráfica y Aplicaciones
Una función afín a trozos es aquella que se define por expresiones distintas en diferentes intervalos del dominio. Es decir, no se describe con una sola fórmula, sino con varias que se aplican de acuerdo al valor que toma la variable independiente x.
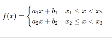
La forma general se expresa como:

donde cada fi(x) es normalmente una función lineal o afín y cada Ii es un intervalo del dominio.
Gráfica
Para representarla:
-
Se identifica cada intervalo y la función correspondiente.
-
Se grafica cada parte por separado, respetando los límites del intervalo.
-
Se observa si los extremos son abiertos (punto vacío) o cerrados (punto lleno), según lo indique la definición.
El resultado suele ser una gráfica continua por tramos o discontinua en ciertos puntos.
Aplicaciones
Este tipo de funciones se utiliza en situaciones donde una regla cambia según la condición. Por ejemplo:
-
Tarifas de servicios (electricidad, agua, telefonía).
-
Impuestos progresivos.
-
Costos de transporte dependiendo de la distancia.
-
Modelos físicos con distintas etapas (velocidad constante, frenado, reposo).
Ejemplo

La gráfica muestra tres tramos: una recta creciente a la izquierda, una recta decreciente en el centro y una constante hacia la derecha.
En conclusión, la función afín a trozos permite modelar procesos reales y cotidianos que no pueden explicarse con una sola expresión matemática.